服务 >> 多肽定制合成 >> 普通多肽

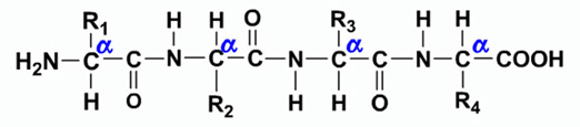
      肽是由各种氨基酸通过肽键按照一定顺序共价连接而成的,具有一定生物活性的化合物分子,其分子量介于氨基酸与蛋白质之间。一般肽中含有的氨基酸的数目为二到九,根据肽中氨基酸的数量的不同,肽有多种不同的称呼:分别叫二肽、三肽、四肽、五肽等。由三个或三个以上氨基酸分子组成的肽叫多肽,它们的分子量低于10,000Da,能透过半透膜。此外,也有文献把由2~10个氨基酸组成的肽称为寡肽(小分子肽);10~50个氨基酸组成的肽称为多肽;由50个以上的氨基酸组成的肽就称为蛋白质,换言之,蛋白质有时也被称为多肽。多肽也简称为肽,是20世纪被发现的。

       相对于蛋白质物质,空间结构较为简单、稳定性较高,且具有较低的免疫原性。可作用于皮肤系统、肌肉骨骼系统、血液系统、心血管系统、内分泌系统、免疫系统等。随着生物技术、合成技术及分析技术的快速发展,多肽已成为一个重要的生命科学研究领域。如今多肽产品已在医疗、保健食品、化妆品、新材料等众多领域得到广泛应用,尤其是在医药领域,多肽药物正发挥越来越重要的作用。


普通多肽结构图



酪蛋白多肽


Muttenthaler, M., King, G. F., Adams, D. J., & Alewood, P. F. (2021). Trends in peptide drug discovery. Nature reviews. Drug discovery, 20(4), 309–325. https://doi.org/10.1038/s41573-020-00135-8
Wang, L., Wang, N., Zhang, W., Cheng, X., Yan, Z., Shao, G., Wang, X., Wang, R., & Fu, C. (2022). Therapeutic peptides: current applications and future directions. Signal transduction and targeted therapy, 7(1), 48. https://doi.org/10.1038/s41392-022-00904-4


  下一条信息: 环肽
  上一条信息: 没有了